EJERCICIOS DE LÓGICA PREDICADOS
Proof Checker

  1. Formalización de expresiones
  2. Formalización de argumentos
  3. Completar Conclusiones
  4. Descubrir Validez Conclusiones
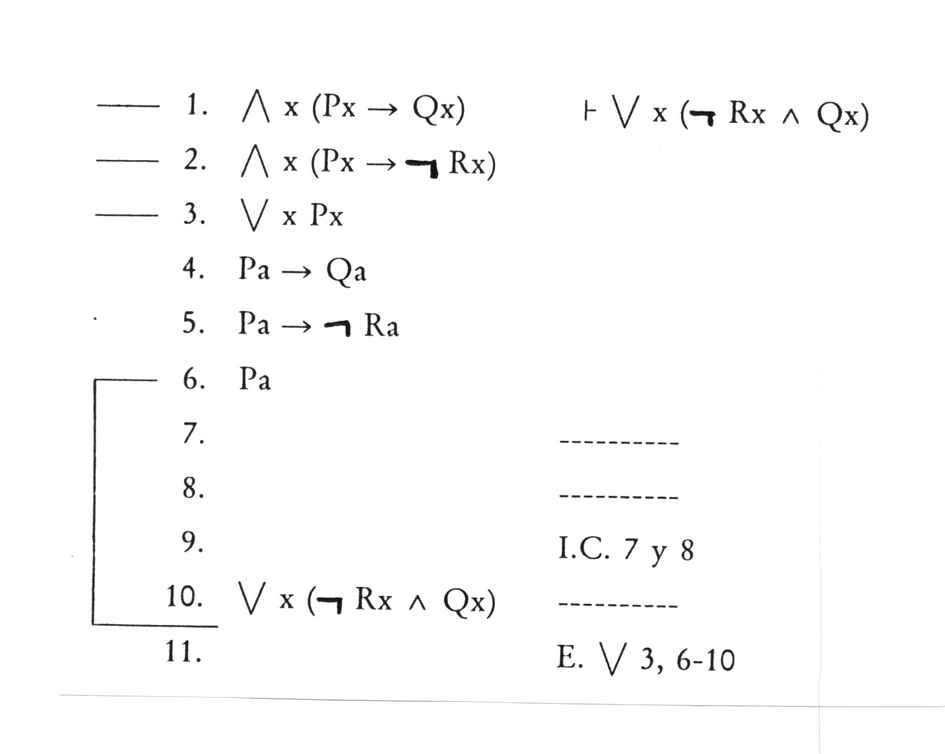
  5. Completar la derivación de los siguientes ejercicios:

Otros Ejercicios
Lógica de Predicados

























































































































































FORMALIZACIÓN DE EXPRESIONES

Formaliza las expresiones siguientes:
  1. Todos los Psicoanalistas son argentinos
  2. Las guerras son odiosas
  3. Cualquier imposición es una tontería
  4. El hombre comete muchas locuras
  5. Los gérmenes producen enfermedades
  6. Ninguna persona inteligente ve interrupidamente la TV
  7. Ninguna rubia es peligrosa
  8. No hay causa alguna por la que merezca la pena morir
  9. Son las leyes costumbres escritas
  10. Algunos militares son simpáticos
  11. No faltan alumnos que hagan bien los ejercicios
  12. Hay quien es tonto y no se entera
  13. Algunos hombres cometen tonterías
  14. Entre las rubias, no faltan quienes son teñidas
  15. Algunas aves no saben volar
  16. Algunas guerras no son inútiles
  17. Hay personas que no saben ser sinceras
  18. Ciertas costumbres son inamovibles
  19. Casi todos los poetas son sensibles
Si quieres ver la Solución pulsa AQUÍ

Derivación en Lógica de Predicados





























































































































































































SOLUCIÓN A FORMALIZACIÓN DE EXPRESIONES

  1. Todos los Psicoanalistas son argentinos:
    "x (Px ® Ax)
  2. Las guerras son odiosas:
    "x(Gx® Ox)
  3. Cualquier imposición es una tontería
    "x (Ix ® Tx)
  4. El hombre comete muchas locuras:
    "x (Hx ® Lx)
  5. Los gérmenes producen enfermedades:
    "x(Gx® Ex)
  6. Ninguna persona inteligente ve interrupidamente la TV:
    "x (Px ® ¬ Tx)
    Tambien puede formalizarse así:
    "x (Px Ù Ix) ® ¬ Tx
  7. Ninguna rubia es peligrosa:
    "x (Rx ® ¬ Px)
  8. No hay causa alguna por la que merezca la pena morir:
    "x (Cx ® ¬ Mx)
  9. Son las leyes costumbres escritas:
    "x (Lx ® Cx)
  10. Algunos militares son simpáticos:
    $x (Mx Ù Sx)
  11. No faltan alumnos que hagan bien los ejercicios:
    $x (Ax Ù Bx)
  12. Hay quien es tonto y no se entera:
    $x (Tx Ù ¬ Ex)
  13. Algunos hombres cometen tonterías:
    $x (Hx Ù Tx)
  14. Entre las rubias, no faltan quienes son teñidas:
    $x (Rx Ù Tx)
  15. Algunas aves no saben volar:
    $x (Ax Ù ¬ Vx)
  16. Algunas guerras no son inútiles:
    $x (Gx Ù Ux)
  17. Hay personas que no saben ser sinceras:
    $x (Px Ù ¬ Sx)
  18. Ciertas costumbres son inamovibles:
    $x (Cx Ù ¬ Mx)
  19. Casi todos los poetas son sensibles:
    $x (Px Ù Sx)

Formalización Expresiones





























































































































































































FORMALIZACIÓN Y DERIVACIÓN DE ARGUMENTOS

Formaliza y Deriva los Argumentos siguientes:
                                                                                        
PRIMERO:                                                           
TODO CHIMPANCÉ ES PRIMATE          P=ser primate       H=hablar-comunicarse           
LUCY ES UN CHIMPANCÉ               Q=ser chimpancé     a=Lucy  
--------------------------         I=ser inteligente   b=Mary                    
LUCY ES UN PRIMATE                 R=ser humano        c=Dolly                                              
                                                                                 
SEGUNDO:                                                                                            
ALGUNOS PRIMATES NO SON CHIMPANCÉS            
ALGUNOS CHIMPANCÉS SABEN HABLAR
----------------------------------
ALGUNOS PRIMATES NO SON CHIMPANCÉS
TERCERO:
TODOS LOS PRIMATES SON SERES INTELIGENTES
TODOS LOS SERES INTELIGENTES SABEN HABLAR
LUCY ES UN PRIMATE
---------------------------------------
LUCY SABE HABLAR
CUARTO:
TODOS LOS CHIMPANCÉS SON PRIMATES
TODOS LOS PRIMATES SABEN COMUNICARSE
LUCY Y MARY SON CHIMPANCÉS
------------------------------------
O LUCY SABE COMUNICARSE O MARY SABE
COMUNICARSE
QUINTO:
ALGUNOS SERES HUMANOS SABEN HABLAR
ALGUNOS SERES QUE SABEN HABLAR SON
INTELIGENTES
ALGUNOS INTELIGENTES SE COMPORTAN
COMO CHIMPANCÉS
-------------------------------------------
ALGUNOS SERES HUMANOS SE COMPORTAN
COMO CHIMPANCÉS
SEXTO:
SI NO ES CHIMPANCÉ NO ES PRIMATE
SI NO ES PRIMATE NO ES INTELIGENTE
DOLLY NO ES UN CHIMPANCÉ
----------------------------------
DOLLY NO ES INTELIGENTE
SEPTIMO:
ALGUNOS SERES SON INTELIGENTES O 
SABEN HABLAR
DOLLY NO SABE HABLAR
-------------------------------------
DOLLY NO ES INTELIGENTE
OCTAVO:
ALGUNOS SERES NI SABEN HABLAR NI
SON INTELIGENTES
----------------------------------
NO ES CIERTO QUE ALGUNOS SERES
SEPAN HABLAR O SEAN INTELIGENTES
NOVENO:
TODO CHIMPANCÉ SABE COMUNICARSE
ALGUNOS PRIMATES NO SABEN COMUNICARSE
---------------------------------------
ALGUNOS PRIMATES NO SON CHIMPANCÉS
DÉCIMO:
NINGÚN CHIMPANCÉ TIENE INTELIGENCIA
ALGUNOS SERES O SON HUMANOS O SON 
INTELIGENTES
ALGUNOS PRIMATES NO SON HUMANOS
---------------------------------------
ALGUNOS PRIMATES NO SON CHIMPANCÉS
Si quieres ver la Solución pulsa AQUÍ

Derivación en Lógica de Predicados





























































































































































































SOLUCIÓN A FORMALIZACIÓN Y DERIVACIÓN DE ARGUMENTOS

Formaliza y Deriva los Argumentos siguientes:

PRIMERO: |--- Pa

SEGUNDO: |--- $x (Px Ù ¬ Hx) TERCERO |--- Ha CUARTO: |--- Ha Ú Hb QUINTO: |--- $x (Rx Ù Qx) SEXTO: |--- ¬ Ia SEPTIMO: |--- ¬ Ia OCTAVO: |--- $x ¬ (Hx Ú Ix) NOVENO: |--- $x (Px Ù ¬ Qx) DÉCIMO: |--- $x (Px Ù ¬ Qx)
Derivación en Lógica de Predicados





























































































































































































COMPLETAR CONCLUSIÓN Y FORMALIZACIÓN-DERIVACIÓN DE ARGUMENTOS

Completa la Conclusión, y realiza la Formalización-Derivación de los siguientes argumentos:












Si quieres ver la Solución pulsa AQUÍ

Derivación en Lógica de Predicados





























































































































































































SOLUCIÓN A COMPLETAR LA CONCLUSIÓN Y FORMALIZAR-DERIVAR ARGUMENTOS

COMPLETAR CONCLUSIÓN

Formalización y Derivación del Argumento:

|--- Ma


COMPLETAR CONCLUSIÓN
Formalización y Derivación del Argumento:

|--- $x (Tx Ù ¬ Cx)


COMPLETAR CONCLUSIÓN
Formalización y Derivación del Argumento:

|--- "x (Ox ® Vx)


COMPLETAR CONCLUSIÓN
Formalización y Derivación del Argumento:

|--- "x (Mx Ù Ex) ® ¬ Px


COMPLETAR CONCLUSIÓN

Formalización y Derivación del Argumento:
|--- "x (Px ® (¬ Fx Ù Tx)
COMPLETAR CONCLUSIÓN

Formalización y Derivación del Argumento:
|--- "x (Qx ® Cx)
COMPLETAR CONCLUSIÓN

Formalización y Derivación del Argumento:
|--- "x (Ax Ù Rx) ® ¬ Px
COMPLETAR CONCLUSIÓN
Formalización y Derivación del Argumento:
|--- "x (Px ® ¬ Hx)
COMPLETAR CONCLUSIÓN
Formalización y Derivación del Argumento:
|--- $x (Dx Ù ¬ Ox)
COMPLETAR CONCLUSIÓN
Formalización y Derivación del Argumento:
|--- $x (Px Ù ¬ Cx)
COMPLETAR CONCLUSIÓN
Formalización y Derivación del Argumento:
|--- $x (Rx Ù ¬ Ex)
Completar Conclusiones





























































































































































































DESCUBRIR VALIDEZ CONCLUSIONES

En los argumentos siguientes:
¿Cuál de las dos Conclusiones es Válida?











Derivación en Lógica de Predicados





























































































































































































DESCUBRIR VALIDEZ CONCLUSIONES

¡CORRECTO!

|--- $x (Hx Ù ¬ Dx)


Descubrir Validez Conclusiones





























































































































































































DESCUBRIR VALIDEZ CONCLUSIONES

¡INCORRECTO!

|--- $x (Dx Ù ¬ Hx)


Descubrir Validez Conclusiones





























































































































































































DESCUBRIR VALIDEZ CONCLUSIONES

¡CORRECTO!

|--- $x (Nx Ù ¬ Fx)


Descubrir Validez Conclusiones





























































































































































































DESCUBRIR VALIDEZ CONCLUSIONES

¡INCORRECTO!

|--- "x (Fx ® ¬ Nx)


Descubrir Validez Conclusiones





























































































































































































DESCUBRIR VALIDEZ CONCLUSIONES

¡INCORRECTO!

|--- "x (Ox ® Ax)


Descubrir Validez Conclusiones





























































































































































































DESCUBRIR VALIDEZ CONCLUSIONES

¡CORRECTO!

|--- "x (Ax ® Px)


Descubrir Validez Conclusiones





























































































































































































DESCUBRIR VALIDEZ CONCLUSIONES

¡CORRECTO!

|--- $x (Lx Ù ¬ Hx)


Descubrir Validez Conclusiones





























































































































































































DESCUBRIR VALIDEZ CONCLUSIONES

¡INCORRECTO!

|--- $x (Hx Ù ¬ Lx)


Descubrir Validez Conclusiones





























































































































































































DESCUBRIR VALIDEZ CONCLUSIONES

¡INCORRECTO!

|--- $x (Fx Ù Px)